Composition of attractor lattices
This summer at the Topos Institute, under the supervision of Dr. Sophie Libkind, I studied the composition of attractors. The project itself started earlier with my advisor, Dr. William Kalies, who asked me the following question: how do attractor lattices behave when we combine dynamical systems? In this post, I explain how attractor lattices in decoupled product systems can be characterized algebraically in terms of the lattices of their component systems.
1 Motivation
Order shows up everywhere in our daily lives — in how we arrange objects, make decisions, or observe patterns. Mathematically, order is expressed as a relation on a set of objects, and I am particularly fascinated by how order reveals itself in the study of dynamical systems.
A dynamical system describes how a system evolves over time. Dynamical systems theory uses invariant sets to understand the system’s long-term behavior—patterns that persist as time goes on. A cornerstone of this perspective is Conley’s fundamental decomposition theorem, which shows that the global asymptotic dynamics of any system can be described entirely in terms of its attractors. This perspective leads to a beautiful algebraic insight: the collection of all attractors in a system naturally forms a bounded distributive lattice. Before defining attractors and exploring this lattice structure, we first need to set the stage by introducing what do we mean by a dynamical system.
2 Attractors in dynamical systems
We begin by recalling the definition of a dynamical system. A dynamical system on topological space X is a continuous map \phi : \mathbb{T} \times X \to X that satisfies
\phi(0,x) = x for all x \in X,
\phi(t,\phi(s,x)) = \phi(t+s,x) for all s,t \in \mathbb{T} and x \in X,
where \mathbb{T} is the time domain, either \mathbb{Z} or \mathbb{R}. Next, we recall the definition of attractors and show how they form a bounded distributive lattice. We then illustrate this with a concrete example.
Let X be a compact Hausdorff space. For a point x \in X, the orbit of x describes how the system evolves in time starting from x is \gamma_x(t) := \phi(t,x), \text{where } t \in \mathbb{T}. In applications, differential equations yield examples of dynamical systems with continuous time \mathbb{T} = \mathbb{R}. These continuous-time dynamical systems are called flows. We illustrate this correspondence with an example later on. Throughout this post, we focus on continuous-time dynamical systems, though many results extend to discrete-time systems. A subset S \subseteq X is called invariant if it contains its whole orbit. Formally, S is invariant if \bigcup_{t \in \mathbb{R}} \phi(t,S) = S . The collection of all invariant sets of \phi is denoted by \text{Invset}(\phi). Given a set U \subseteq X, the maximal invariant set in U is the union of all of the invariant sets that it contains. Formally, \operatorname{Inv}_\phi(U) := \bigcup_{S \subseteq U \mid S \in \text{Invset}(\phi) } S. A subset U \subseteq X is called an attracting neighborhood if eventually the orbit of every state in the closure of U ends up in its interior. In other words, if there exists \tau > 0 such that for all t \geq \tau \phi(t, \operatorname{cl}(U)) \subseteq \operatorname{int}(U). Now, A \subseteq X is an attractor if it is the maximal invariant set of an attracting neighborhood. Formally, A is an attractor if there exists a compact U \subseteq X such that A = \operatorname{Inv}_\phi(U). The collection of all attractors of a dynamical system, denoted {\mathsf{Att}}(\phi), forms a bounded, distributive lattice with order given by subset inclusion, see [@Kalies2014]. The lattice operations are given by A \vee B := A \cup B, \qquad A \wedge B := \operatorname{Inv}_\phi(A \cap B).
2.1 Example: The flow \dot{x} = x - x^3
Consider the flow on \mathbb{R} generated by \dot x = x - x^3. Its phase portrait is shown in Figure 1.
Consider the following maximal invariant sets: \{0\} = \rm{Inv}([-0.1,0.1]), \quad \{-1\} = \rm{Inv}([-1.1,-0.9]), \quad \{1\} = \rm{Inv}([0.9,1.1]), [-1,0] = \rm{Inv}([-1.1,0.1]), \quad [0,1] = \rm{Inv}([-0.1,1.1]), \quad [-1,1] = \rm{Inv}([-1.1,1.1]). Since the compact neighborhoods [-1.1,-0.9], \quad [0.9,1.1], \quad [-1.1,-0.9]\cup[0.9,1.1], \quad [-1.1,1.1] are attracting neighborhoods the following sets are attractors. \{-1\}, \quad \{1\}, \quad \{-1,1\}, \quad [-1,1]. As in any dynamical system, the empty set \varnothing is always an attractor and a bottom element of the attractor lattice, ordered by inclusion. Thus, the attractor lattice for this system is shown in Figure 2.
Even though [-1,0] and [0,1] are maximal invariant sets they not attractors. Note that [-1.1,0.1] and [-0.1,1.1] are compact neighborhoods but they are not attracting. This one-dimensional system illustrates attractors and their lattice structure.
3 Attractor lattices in decoupled product systems
Let \phi_1\colon \mathbb{T}\times X_1\to X_1 and \phi_2\colon \mathbb{T}\times X_2\to X_2 be two dynamical systems on compact, Hausdorff spaces. The product system \Phi\colon \mathbb{T}\times (X_1\times X_2)\to X_1\times X_2 is defined by \Phi((x,y),t)=(\phi_1(x,t),\phi_2(y,t)).
3.1 Decoupled case: {\mathsf{Att}}_{\Phi} vs. {\mathsf{Att}}_{\phi_1} \times {\mathsf{Att}}_{\phi_2}
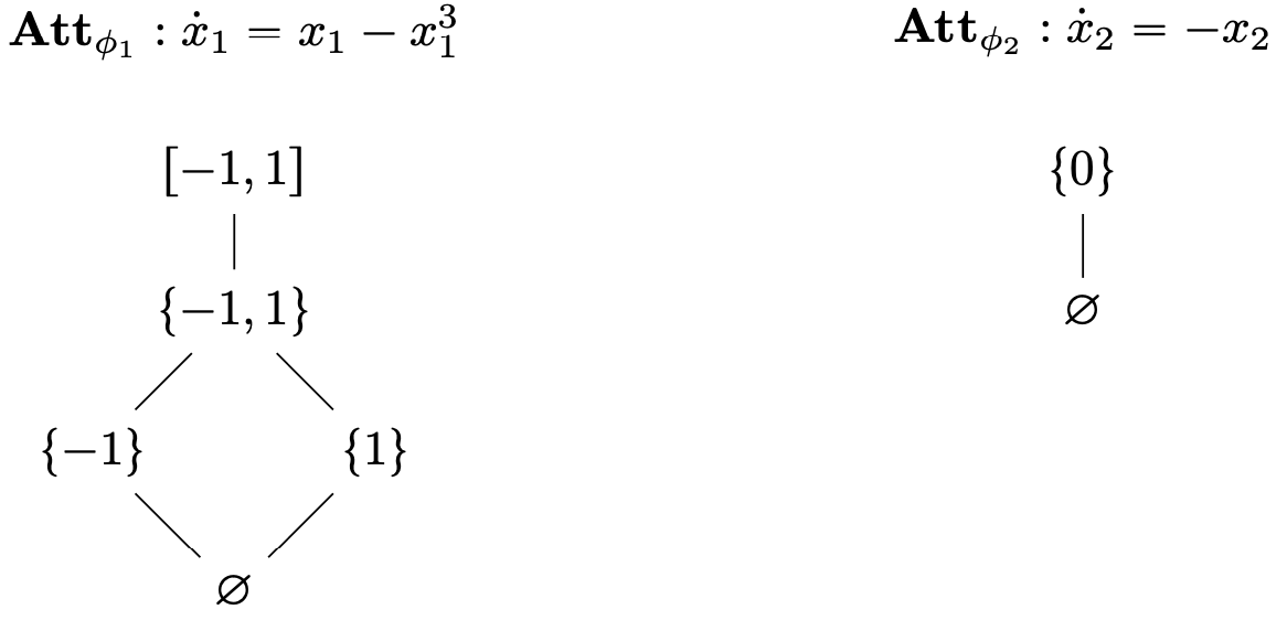
To study the relationship between the attractor lattice of a product system and the attractor lattices of its components, we begin with the following decoupled system \dot x_1 = x_1 - x_1^3, \qquad \dot x_2 = -x_2.
Their attractor lattices are shown in Figure 3.
A natural question is how the cartesian product {\mathsf{Att}}_{\phi_1} \times {\mathsf{Att}}_{\phi_2} compares to the attractor lattice {\mathsf{Att}}_{\Phi} of the product system. The comparison is shown in Figure 4.
Notice that {\mathsf{Att}}_{\phi_1} \times {\mathsf{Att}}_{\phi_2} contains strictly more elements than {\mathsf{Att}}_{\Phi}. To connect the two lattices we just compared, it helps to introduce the idea of realization maps. Our goal is therefore to construct a suitable realization map that connects the two lattices. For instance, pairs involving the empty set such as ({1},\varnothing) or (\varnothing,{0}) are both realized as the empty set in {\mathsf{Att}}_{\Phi}. On the other hand, pairs not involving the empty set are faithfully realized; for example, ([-1,1],\{0\}) \;\mapsto\; [-1,1]\times\{0\}. This discrepancy motivates the introduction of the realization map \hat{\rho} next. Given two attractors A \in {\mathsf{Att}}_{\phi_1} and B \in {\mathsf{Att}}_{\phi_2}, we can form their Cartesian product A \times B. This motivates the map \rho:\ {\mathsf{Att}}_{\phi_1}\times{\mathsf{Att}}_{\phi_2} \;\longrightarrow\; {\mathsf{Att}}_{\Phi}, \qquad \rho(A,B) = A \times B.
The map \rho is a meet–semilattice homomorphism. However, it is not injective because of pairs that include the empty set. To fix this, we identify all such pairs using \ker{\rho}. After this identification, we obtain the induced map \hat{\rho}:\ {({\mathsf{Att}}_{\phi_1}\times{\mathsf{Att}}_{\phi_2})} /{\ker(\rho)} \;\longrightarrow\; {\mathsf{Att}}_{\Phi}, \qquad \hat{\rho}(A,B) = A \times B, which is now injective.
One important result here is that this map is not always surjective. This means that there are emergent attractors in the product system that cannot be written as a direct product of attractors from the two subsystems. We will next look at an explicit example of this.
3.2 Corners the product forgot
To see why surjectivity fails, consider the following decoupled system \dot{x_1} = x_1(1-x_1), \qquad \dot{x_2} = x_2(1-x_2), with phase space [0,1]\times[0,1]. Its phase portrait is shown in Figure 5. Each subsystem has the attractors \varnothing, \{1\}, and [0,1].
Now, the realization map \hat{\rho} of this example is shown in Figure 6.
However, the product system \Phi admits additional attractors that do not arise as simple Cartesian products. In particular, there is a “corner” attractor ([0,1] \times \{1\}) \cup (\{1\} \times [0,1]) which is a result of the interaction of both systems. It belongs to {\mathsf{Att}}_{\Phi} but is not in an image of \hat{\rho}. Interestingly, the missing attractor can be recovered algebraically: If we close the image of \hat{\rho} under joins, we obtain the full lattice {\mathsf{Att}}_{\Phi} in the continuous case. One of my projects was to investigate whether the following equivalence holds: C^{\vee}\big(\mathrm{Im}(\hat{\rho})\big) \cong {\mathsf{Att}}_{\Phi}, where C^{\vee} denotes join-closure. However, for discrete maps, this remains only a sublattice of {\mathsf{Att}}_{\Phi}.
This shows that while the map \hat{\rho} provides a faithful embedding of the product of lattices into the combined system lattice, it does not capture all attractors of the product system in general: new attractors may appear that are not simple products.
4 Conclusion
In this post, we studied how attractor lattices behave when combining systems. The decoupled case highlights both the algebraic structure that persists and the limitations of product constructions. Moving forward, the coupled setting requires richer tools: cascade products and, more generally, sheaf-theoretic frameworks offer a natural way to extend these ideas to more general dynamical interactions. This next question will be my focus for the next couple of months.
Lastly, I would like to thank Sophie for her guidance and the entire Topos team for making my time there fulfilling and deeply inspiring. I learned a lot from everyone and look forward to building on these ideas in the months ahead. I would also like to thank my advisor, Dr. William Kalies, for suggesting this project and for his guidance, ideas, and numerous discussions that were instrumental in shaping this draft.





